IFRS 15: Journal Entries For Revenue Recognition

A.Manycontent 44 views
IFRS 15: Journal Entries For Revenue Recognition

IFRS 15 Revenue Recognition: Journal Entries

Alright, guys, let’s dive into the nitty-gritty of IFRS 15, specifically focusing on journal entries. If you’re dealing with revenue recognition under this standard, understanding these entries is crucial . We’ll break it down to make it super clear and easy to follow.

Understanding IFRS 15

Before we jump into journal entries, let’s quickly recap what IFRS 15 is all about. In essence, IFRS 15 provides a framework for when and how revenue should be recognized. It replaced a bunch of older standards and interpretations, bringing more consistency and comparability to financial reporting.

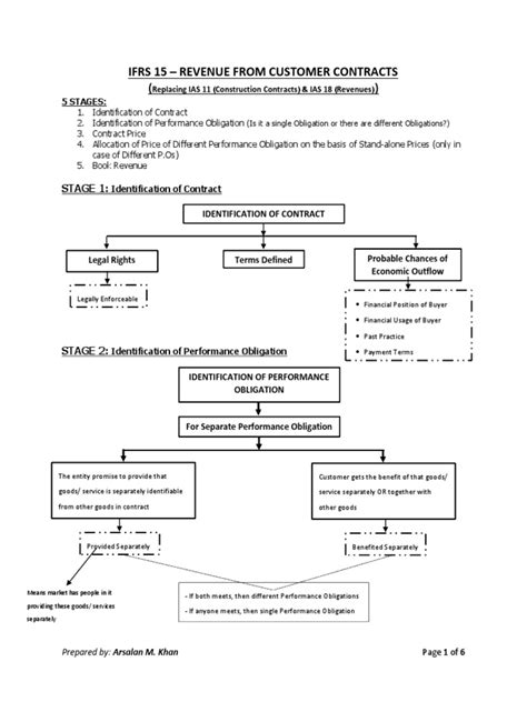
The core principle of IFRS 15 is recognizing revenue when a company transfers goods or services to a customer at an amount that reflects the consideration the company expects to receive in exchange for those goods or services. Sounds simple enough, right? But the devil is in the details. The standard outlines a five-step model for revenue recognition:

  1. Identify the contract(s) with a customer: This involves determining if an agreement meets the definition of a contract under IFRS 15. A contract exists when it creates enforceable rights and obligations.
  2. Identify the performance obligations in the contract: A performance obligation is a promise in a contract to transfer a distinct good or service to the customer. A good or service is distinct if the customer can benefit from it on its own or together with other resources that are readily available to the customer.
  3. Determine the transaction price: This is the amount of consideration the company expects to be entitled to in exchange for transferring promised goods or services to the customer. It can include fixed amounts, variable amounts, and non-cash consideration.
  4. Allocate the transaction price to the performance obligations in the contract: If a contract has multiple performance obligations, the transaction price needs to be allocated to each performance obligation based on their relative standalone selling prices. This might require some estimation if standalone selling prices aren’t directly observable.
  5. Recognize revenue when (or as) the entity satisfies a performance obligation: Revenue is recognized when the company transfers control of a good or service to the customer. This could be at a single point in time or over a period of time, depending on the nature of the performance obligation. Control is transferred when the customer has the ability to direct the use of, and obtain substantially all of the remaining benefits from, the asset or service.

Key Concepts in IFRS 15

  • Performance Obligation: A promise in a contract with a customer to transfer a distinct good or service.
  • Transaction Price: The amount of consideration an entity expects to be entitled to in exchange for transferring promised goods or services to a customer.
  • Standalone Selling Price: The price at which an entity would sell a promised good or service separately to a customer.
  • Control: The ability to direct the use of, and obtain substantially all of the remaining benefits from, an asset or service.

Alright, with the basics down, let’s move on to the journal entries.

Basic Journal Entries Under IFRS 15

Let’s illustrate the common journal entries you’ll encounter when applying IFRS 15. We’ll start with a simple scenario and then move to more complex situations. The goal is to give you a solid foundation.

Simple Sale of Goods

Imagine your company sells goods to a customer for $10,000. The customer pays cash upon delivery. Here’s how the journal entries would look:

1. When the Goods are Delivered and Payment is Received

Debit Cash: $10,000

Credit Revenue: $10,000

This is as straightforward as it gets. You’re increasing your cash and recognizing revenue at the point when you’ve transferred control of the goods to the customer. Remember, the key is that the customer now has the ability to direct the use of the goods and obtain substantially all of the remaining benefits from them. This entry reflects the heart of IFRS 15: revenue recognition tied directly to the transfer of control.

Sale of Services

Now, let’s say you provide a service to a customer for $5,000, and they pay you upfront.

1. When Payment is Received

Debit Cash: $5,000

Credit Deferred Revenue: $5,000

2. When the Service is Performed

Debit Deferred Revenue: $5,000

Credit Revenue: $5,000

Here, we initially credit Deferred Revenue because you haven’t yet fulfilled the performance obligation. Once the service is performed, you recognize the revenue and reduce the deferred revenue balance. Deferred Revenue is a liability account representing your obligation to provide the service.

Sale with a Discount

Sometimes you offer discounts to customers. Let’s say you sell goods for $10,000 but offer a 5% discount if the customer pays within 30 days. They take advantage of the discount.

1. Initial Sale

Debit Accounts Receivable: $10,000

Credit Revenue: $10,000

2. When the Customer Pays Within 30 Days

Debit Cash: $9,500

Debit Sales Discount: $500

Credit Accounts Receivable: $10,000

The Sales Discount is a contra-revenue account that reduces your gross revenue to the net amount you actually received. This gives a clearer picture of your actual earnings.

More Complex Scenarios

Now that we’ve covered the basics, let’s tackle some more intricate scenarios that require a deeper understanding of IFRS 15.

Multiple Performance Obligations

Contracts often involve multiple performance obligations. For example, a company might sell a product along with a service contract. You need to allocate the transaction price to each performance obligation based on its relative standalone selling price.

Let’s say you sell a machine for \(8,000 and include a two-year service contract. The standalone selling price of the machine is \) 7,000, and the standalone selling price of the service contract is \(2,000. The total transaction price is \) 8,000. The total standalone selling price is $9,000 (7,000 + 2,000).

1. Allocation of Transaction Price

  • Machine: ( \(7,000 / \) 9,000) * \(8,000 = \) 6,222.22
  • Service Contract: ( \(2,000 / \) 9,000) * \(8,000 = \) 1,777.78

2. Journal Entries at the Time of Sale

Debit Cash: $8,000

Credit Revenue (Machine): $6,222.22

Credit Deferred Revenue (Service Contract): $1,777.78

3. Recognizing Service Revenue Over Two Years (Assuming Straight-Line)

Each year, you would recognize \(1,777.78 / 2 = \) 888.89 of service revenue.

Debit Deferred Revenue (Service Contract): $888.89

Credit Revenue (Service): $888.89

This illustrates how you allocate the transaction price and recognize revenue for each performance obligation separately.

Variable Consideration

Sometimes the transaction price includes variable consideration, such as bonuses or penalties. You need to estimate the amount of variable consideration you expect to receive.

Suppose you have a contract where you’ll receive a bonus of $1,000 if you complete the project by a certain date. Based on your past experience, you’re highly confident you’ll meet the deadline. According to IFRS 15, you only include variable consideration to the extent that it is highly probable that a significant reversal in the amount of cumulative revenue recognized will not occur when the uncertainty associated with the variable consideration is subsequently resolved.

1. Initial Entry (Assuming you expect to receive the bonus)

Debit Accounts Receivable: $1,000

Credit Revenue: $1,000

However, if there’s significant uncertainty about whether you’ll receive the bonus, you might not recognize it until the uncertainty is resolved (i.e., you actually meet the deadline).

Principal vs. Agent Considerations

It’s also important to determine whether you’re acting as a principal or an agent in a transaction. If you’re a principal, you control the goods or services before they’re transferred to the customer, and you recognize revenue for the gross amount of consideration. If you’re an agent, you arrange for the goods or services to be provided by another party, and you recognize revenue for the fee or commission.

Let’s say you’re an online retailer acting as an agent for a third-party seller. You sell a product for $100, and your commission is 10%. You only recognize revenue for your commission.

1. Journal Entry

Debit Cash: $100

Credit Revenue (Commission): $10

Credit Payable to Third-Party Seller: $90

Here, your revenue is only the \(10 commission, not the full \) 100.

Practical Tips for Handling Journal Entries Under IFRS 15

Okay, so you’ve got the basic concepts down. Let’s talk about some practical tips to make your life easier when dealing with IFRS 15 journal entries:

  • Document Everything: I mean everything . Keep detailed records of your contracts, performance obligations, transaction price allocations, and any assumptions you make. This documentation is crucial for audits and for defending your accounting treatment.
  • Stay Updated: IFRS 15 can be complex, and interpretations can evolve. Make sure you and your team stay up-to-date on the latest guidance from accounting bodies and regulatory authorities.
  • Use Accounting Software Wisely: Leverage your accounting software to automate revenue recognition processes where possible. Many modern systems have features specifically designed to handle IFRS 15 requirements.
  • Consult with Experts: Don’t be afraid to seek advice from accounting professionals who specialize in IFRS 15. They can provide valuable insights and help you navigate complex situations.

Common Mistakes to Avoid

To wrap things up, let’s quickly run through some common mistakes people make when dealing with IFRS 15 journal entries:

  • Failing to Identify All Performance Obligations: Make sure you carefully analyze your contracts to identify all the distinct goods or services you’re promising to deliver.
  • Incorrectly Allocating the Transaction Price: Use the best available evidence to determine standalone selling prices and allocate the transaction price accordingly. Don’t just guess!
  • Recognizing Revenue Too Early or Too Late: Ensure you’re recognizing revenue only when you’ve transferred control of the goods or services to the customer.
  • Ignoring Variable Consideration: Properly assess and account for variable consideration in your contracts. This can significantly impact your revenue recognition.

By understanding the principles of IFRS 15 and following these practical tips, you’ll be well-equipped to handle the journal entries required for revenue recognition. Keep practicing, and don’t hesitate to ask for help when you need it. You’ve got this!