Lagrange Multipliers: Optimization Explained

A.Manycontent 43 views
Lagrange Multipliers: Optimization Explained

Lagrange Multipliers: Optimization Explained

Hey guys! Today, we’re diving into a super cool and useful optimization technique called the Lagrange Multiplier method . If you’ve ever wondered how to find the maximum or minimum value of a function subject to a constraint , then buckle up, because this is exactly what you need. Let’s break it down in a way that’s easy to understand and even easier to apply.

What are Lagrange Multipliers?

At its heart, the Lagrange multiplier method is a strategy for finding the local maxima and minima of a function of several variables subject to one or more constraints. Imagine you’re trying to find the highest point on a hill, but you’re only allowed to walk along a specific path. The Lagrange multiplier helps you pinpoint that highest point on your restricted path. Formally, it introduces a new variable (the Lagrange multiplier, often denoted as λ) to solve constrained optimization problems. This method is incredibly versatile and appears in various fields like economics, physics, and engineering.

The Basic Idea

The core idea behind Lagrange multipliers is that at an optimal point, the gradient of the function you’re trying to optimize (our “objective function”) will be parallel to the gradient of the constraint function. Think of it this way: if the gradients weren’t parallel, you could still move along the constraint and increase (or decrease) the value of your objective function. Only when they are parallel have you truly found a spot where you can’t improve your objective function without violating the constraint. To formalize this, we introduce the Lagrangian function, which combines the objective function and the constraint(s) using Lagrange multipliers.

Setting up the Lagrangian

Let’s say you want to maximize or minimize a function f(x, y) subject to a constraint g(x, y) = c , where c is a constant. The Lagrangian function, denoted by L , is defined as:

L(x, y, λ) = f(x, y) - λ(g(x, y) - c)

Here, λ (lambda) is the Lagrange multiplier. The magic happens when you take the partial derivatives of L with respect to x , y , and λ , and set them equal to zero. These equations give you a system to solve for x , y , and λ . The solutions (x, y) are the points where the constrained extrema might occur. In essence, the Lagrange multiplier λ represents the rate of change of the objective function with respect to the constraint. It tells you how much the optimal value of your objective function would change if you slightly relaxed the constraint. This interpretation is particularly useful in economics and sensitivity analysis. Understanding and correctly setting up the Lagrangian is half the battle. A solid grasp of partial derivatives is also essential, so make sure you’re comfortable with those before diving too deep into Lagrange multipliers. Once you understand the fundamental principle of parallel gradients and how the Lagrangian formalizes this, the rest of the process becomes much clearer and more intuitive.

How to Use Lagrange Multipliers: A Step-by-Step Guide

Alright, let’s get our hands dirty with a step-by-step guide on how to actually use Lagrange multipliers to solve optimization problems. This method might seem a bit abstract at first, but once you go through a few examples, you’ll find it’s a pretty straightforward process.

Step 1: Define the Objective Function and Constraint

First, clearly identify what you’re trying to optimize (the objective function ) and what limits you (the constraint ). The objective function is the function you want to maximize or minimize, usually denoted as f(x, y) (or f(x, y, z) in three dimensions, and so on). The constraint is an equation that restricts the values of x and y , typically written as g(x, y) = c , where c is a constant. For example, you might want to maximize the area of a rectangle f(x, y) = xy subject to a perimeter constraint g(x, y) = 2x + 2y = 20 . Identifying these two functions correctly is crucial because everything else builds on this foundation. Make sure you understand the problem you’re trying to solve and can express it mathematically in terms of an objective function and a constraint. It’s also worth checking if the problem is well-posed. Does a maximum or minimum even exist given the constraint? Sometimes, the problem might not have a solution, or the solution might be unbounded. These preliminary checks can save you time and effort down the line.

Step 2: Form the Lagrangian Function

Next, create the Lagrangian function, which combines the objective function and the constraint using the Lagrange multiplier λ . The Lagrangian function, denoted by L , is defined as:

L(x, y, λ) = f(x, y) - λ(g(x, y) - c)

Notice that we’re subtracting λ times the constraint function (minus the constant c ) from the objective function. This setup ensures that when the constraint is satisfied ( g(x, y) = c ), the Lagrangian L is equal to the objective function f(x, y) . The Lagrange multiplier λ acts as a penalty term. If the constraint is violated ( g(x, y) ≠ c ), the λ term will change the value of the Lagrangian, pushing the solution back towards satisfying the constraint. This is how the Lagrangian incorporates the constraint into the optimization process. Make sure you have the correct sign in front of the λ term. It’s a common mistake to accidentally add instead of subtract (or vice versa). Double-checking this step can prevent errors later on. The Lagrangian is the central construct in this method, so take your time to set it up correctly.

Step 3: Find the Partial Derivatives

Now, you need to find the partial derivatives of the Lagrangian L with respect to each variable ( x , y , and λ ). This means differentiating L with respect to each variable while treating the other variables as constants. You’ll get three partial derivatives:

  • ∂L/∂x = 0
  • ∂L/∂y = 0
  • ∂L/∂λ = 0

These equations represent the conditions for a stationary point of the Lagrangian. They essentially say that at the optimal point, the rate of change of L with respect to each variable must be zero. The first two equations, ∂L/∂x = 0 and ∂L/∂y = 0, express the condition that the gradient of the objective function is parallel to the gradient of the constraint. The third equation, ∂L/∂λ = 0, simply recovers the original constraint g(x, y) = c . This confirms that the solution must satisfy the constraint. Calculating the partial derivatives accurately is essential. Make sure you know your differentiation rules and apply them carefully. It’s easy to make mistakes when differentiating, especially with more complex Lagrangians. Double-check your work to ensure that you have the correct partial derivatives before moving on to the next step. These derivatives form the basis of the system of equations that you’ll solve to find the optimal values.

Step 4: Solve the System of Equations

You now have a system of three equations with three unknowns ( x , y , and λ ). Solve this system to find the values of x , y , and λ that satisfy all three equations simultaneously. There are various techniques you can use to solve the system, such as substitution, elimination, or numerical methods. The specific method you choose will depend on the complexity of the equations. Sometimes, you can solve for λ in one equation and substitute it into the other equations. Other times, you might need to use numerical methods to approximate the solutions. Be prepared to use your algebra skills and think creatively to find the solutions. Solving this system of equations is often the most challenging part of the process, but it’s also the key to finding the optimal values of x and y . Remember that you’re looking for the values of x and y that satisfy both the objective function and the constraint. The Lagrange multiplier λ is just a tool to help you find those values.

Step 5: Evaluate the Objective Function

Once you’ve found the values of x and y that satisfy the system of equations, plug those values back into the original objective function f(x, y) to find the maximum or minimum value. You may have multiple solutions for x and y , so you’ll need to evaluate the objective function at each solution to determine which one gives the actual maximum or minimum. Compare the values of f(x, y) at each solution to determine which one is the largest (for maximization problems) or the smallest (for minimization problems). The corresponding values of x and y are the optimal values that satisfy the constraint. Remember that Lagrange multipliers only find local maxima and minima. To find the global maximum or minimum, you might need to consider the boundary of the feasible region or use other optimization techniques. However, for many problems, the local extrema found by Lagrange multipliers are also the global extrema. This final evaluation step is crucial to determining the actual maximum or minimum value of the objective function subject to the constraint. Don’t skip it!

Example Time: Maximizing Area with a Fixed Perimeter

Let’s solidify our understanding with an example. Suppose we want to find the dimensions of a rectangle with a fixed perimeter that maximizes its area. Let x and y be the lengths of the sides of the rectangle. Our objective is to maximize the area f(x, y) = xy , subject to the constraint that the perimeter is fixed at, say, 20 units: g(x, y) = 2x + 2y = 20 .

Step 1: Define Objective and Constraint

  • Objective function: f(x, y) = xy
  • Constraint: g(x, y) = 2x + 2y = 20

Step 2: Form the Lagrangian

The Lagrangian function is:

L(x, y, λ) = xy - λ(2x + 2y - 20)

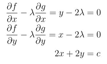
Step 3: Find Partial Derivatives

Now, let’s find the partial derivatives and set them equal to zero:

  • ∂L/∂x = y - 2λ = 0
  • ∂L/∂y = x - 2λ = 0
  • ∂L/∂λ = -(2x + 2y - 20) = 0 (which simplifies to 2x + 2y = 20)

Step 4: Solve the System of Equations

From the first two equations, we have y = 2λ and x = 2λ . This implies that x = y . Substituting this into the constraint 2x + 2y = 20 , we get 4x = 20 , so x = 5 . Since x = y , we also have y = 5 . To find λ, we can use y = 2λ , so 5 = 2λ , and λ = 2.5 .

Step 5: Evaluate the Objective Function

The only solution we found is x = 5 and y = 5 . Plugging these values into the objective function, we get *f(5, 5) = 5 * 5 = 25*. Thus, the maximum area is 25 square units, which occurs when the rectangle is a square with sides of length 5.

Common Pitfalls and How to Avoid Them

Okay, let’s talk about some common mistakes people make when using Lagrange multipliers and how to avoid them. Trust me, knowing these pitfalls can save you a lot of headaches.

Forgetting the Constraint

One of the most common mistakes is forgetting to include the constraint in the Lagrangian function or misinterpreting it. Always double-check that you’ve correctly incorporated the constraint into the Lagrangian. Remember, the constraint is what ties the variables together and restricts the possible solutions. Without it, you’re just optimizing the objective function without any limitations, which is not what you want. To avoid this, write down the objective function and constraint separately before forming the Lagrangian. This will help you keep track of everything and ensure that you don’t forget anything. Also, make sure you understand the physical or practical meaning of the constraint. This can help you catch errors in your formulation.

Incorrect Partial Derivatives

Taking the partial derivatives of the Lagrangian can be tricky, especially with more complex functions. Make sure you know your differentiation rules and apply them carefully. Double-check your work to ensure that you have the correct partial derivatives. A good strategy is to take each partial derivative twice, independently, and then compare the results. If you get different answers, you know you’ve made a mistake somewhere. Also, pay attention to the order of operations and the chain rule. These are common sources of errors when differentiating. If you’re not comfortable with differentiation, review the basics before attempting to use Lagrange multipliers. It’s also helpful to use a symbolic calculator or software to check your partial derivatives.

Solving the System of Equations Incorrectly

Solving the system of equations resulting from the partial derivatives can be challenging. Be careful when using substitution or elimination to solve for the variables. Double-check your algebraic manipulations to avoid errors. Sometimes, the system of equations might have multiple solutions, or it might not have any solutions at all. Be aware of these possibilities and be prepared to use different techniques to solve the system. If you’re having trouble solving the system by hand, you can use numerical methods or software to approximate the solutions. However, it’s still important to understand the underlying principles and be able to interpret the results.

Not Checking Boundary Conditions

Lagrange multipliers find local maxima and minima. To find the global maximum or minimum, you might need to check the boundary conditions of the feasible region. The boundary conditions are the values of the variables at the edges of the feasible region. For example, if you’re optimizing a function subject to the constraint x ≥ 0 and y ≥ 0 , you need to check the values of the function at x = 0 and y = 0 . Sometimes, the global maximum or minimum occurs at the boundary, not at a local extremum found by Lagrange multipliers. To check the boundary conditions, substitute the boundary values into the objective function and compare the results to the local extrema. The largest (or smallest) value is the global maximum (or minimum).

Misinterpreting the Lagrange Multiplier

The Lagrange multiplier λ has a specific meaning: it represents the rate of change of the objective function with respect to the constraint. In other words, it tells you how much the optimal value of the objective function would change if you slightly relaxed the constraint. Avoid misinterpreting this value or ignoring it altogether. Understanding the meaning of the Lagrange multiplier can provide valuable insights into the problem and help you make better decisions. For example, if λ is large and positive, it means that a small relaxation of the constraint would lead to a significant increase in the objective function. This suggests that the constraint is very restrictive and that it might be worth considering relaxing it if possible. On the other hand, if λ is small or negative, it means that relaxing the constraint would not have a significant impact on the objective function.

Conclusion

The Lagrange multiplier method is a powerful tool for solving constrained optimization problems. By understanding the underlying principles and following the steps outlined in this guide, you can effectively use this method to find the maximum or minimum value of a function subject to one or more constraints. Remember to define the objective function and constraint correctly, form the Lagrangian function, find the partial derivatives, solve the system of equations, and evaluate the objective function. Also, be aware of the common pitfalls and take steps to avoid them. With practice, you’ll become proficient in using Lagrange multipliers to solve a wide range of optimization problems. So, keep practicing, and you’ll become a Lagrange multiplier master in no time! Happy optimizing!