Understanding 2n Choose N: A Deep Dive

A.Manycontent 52 views
Understanding 2n Choose N: A Deep Dive

Understanding 2n Choose n: A Deep Dive

Hey guys! Let’s dive into a fascinating topic in combinatorics: understanding the term “2n choose n”. This might sound intimidating at first, but trust me, we’ll break it down into bite-sized pieces that even your grandma could understand. So, buckle up, and let’s get started!

What Does “2n Choose n” Really Mean?

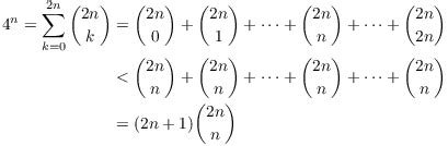
At its heart, “2n choose n” , often written as (2n C n) or binom(2n, n) , represents a very specific counting problem. In the world of combinatorics , we’re all about figuring out how many ways we can select items from a larger set. Specifically, “2n choose n” asks: “Out of a set of 2n items, how many different ways can you choose a subset of n items?”

Let’s break that down even further. Imagine you have a bag filled with 2n distinguishable objects – maybe 2n different colored balls, or 2n uniquely named kittens. You want to grab exactly n of these objects. The question is, how many different combinations of n objects can you end up with in your hand? That’s what “2n choose n” calculates!

Now, you might be thinking, “Okay, that sounds straightforward, but why 2n and n specifically?” Great question! The beauty of “2n choose n” lies in its frequent appearance in various mathematical contexts, particularly when we’re dealing with symmetrical scenarios or situations where we’re dividing a group into two equal parts. Think about it: you’re starting with a set that’s twice the size of the subset you want to pick. This kind of scenario pops up more often than you might think!

To really nail this down, let’s consider a simple example. Suppose n = 3 . That means we have a set of 2n = 6 items, and we want to choose n = 3 of them. So, we’re looking at “6 choose 3”, or (6 C 3). Using the formula for combinations (which we’ll touch on later), we find that (6 C 3) = 20. This means there are 20 different ways to pick 3 items from a set of 6. Not too shabby, right?

Understanding what “2n choose n” means is the first step. Next, we’ll delve into how to actually calculate it and explore some of the cool places where this concept shows up in math and computer science. Stay tuned!

The Formula Behind the Magic: Calculating “2n Choose n”

Alright, now that we understand what “2n choose n” represents, let’s get down to the nitty-gritty: how do we actually calculate it? Fortunately, there’s a handy-dandy formula that makes this process a whole lot easier. This formula comes directly from the definition of combinations in combinatorics .

The formula for “n choose k” (in general) is:

nCk = n! / (k! * (n-k)!)

Where “!” denotes the factorial function. Remember, the factorial of a number n (written as n !) is the product of all positive integers less than or equal to n . For example, 5! = 5 * 4 * 3 * 2 * 1 = 120.

So, to calculate “2n choose n”, we simply plug 2n in for n and n in for k in the formula above. This gives us:

(2n C n) = (2n)! / (n! * (2n-n)!) = (2n)! / (n! * n!)

That’s it! That’s the formula we use to calculate “2n choose n”. Let’s walk through an example to see it in action.

Suppose n = 4 . Then we want to calculate “8 choose 4”, or (8 C 4). Using the formula, we get:

(8 C 4) = 8! / (4! * 4!) = (8 * 7 * 6 * 5 * 4 * 3 * 2 * 1) / ((4 * 3 * 2 * 1) * (4 * 3 * 2 * 1))

Now, we can simplify this expression. Notice that 4! appears in both the numerator and the denominator, so we can cancel it out:

(8 C 4) = (8 * 7 * 6 * 5) / (4 * 3 * 2 * 1) = (8 * 7 * 6 * 5) / 24

Further simplification gives us:

(8 C 4) = 1680 / 24 = 70

Therefore, “8 choose 4” is equal to 70. This means there are 70 different ways to choose 4 items from a set of 8 items. Cool, huh?

While the formula is straightforward, calculating factorials can become computationally expensive very quickly as n increases. Factorials grow fast ! Even for moderately sized values of n , you might run into integer overflow issues if you’re using a programming language with fixed-size integers. There are more efficient ways to compute binomial coefficients, especially for larger values of n , which we might explore later.

But for now, the key takeaway is understanding the formula: (2n C n) = (2n)! / (n! * n!). With this formula in your toolkit, you’re well-equipped to calculate “2n choose n” for a wide range of values.

Real-World Applications and Mathematical Significance

Okay, so we know what “2n choose n” means and how to calculate it. But where does this seemingly abstract concept actually show up in the real world, and why is it mathematically significant? Turns out, it pops up in more places than you might think!

Catalan Numbers

One of the most famous connections is with the Catalan numbers . The *n*th Catalan number is defined as:

Cn = (1 / (n+1)) * (2n C n)

Catalan numbers appear in a staggering variety of counting problems. Here are just a few examples:

  • The number of ways to correctly match n pairs of parentheses.
  • The number of binary trees with n nodes.
  • The number of ways to divide a convex polygon with n+2 sides into triangles by connecting vertices with non-intersecting diagonals.
  • The number of paths on a grid from (0, 0) to (n, n) that never go above the diagonal.

Because “2n choose n” is a key component of the Catalan numbers, understanding it is crucial for tackling these types of problems. The Catalan numbers themselves have applications in areas like computer science (analyzing algorithms and data structures), probability, and even mathematical biology!

Probability and Statistics

“2n choose n” also shows up in probability problems, especially those involving combinations and selections. For example, imagine you’re flipping a fair coin 2n times. The probability of getting exactly n heads is related to “2n choose n”. Specifically, the number of ways to get n heads in 2n flips is (2n C n), and the total number of possible outcomes is 2^(2n). Therefore, the probability of getting exactly n heads is:

P(n heads in 2n flips) = (2n C n) / 2^(2n)

This highlights how “2n choose n” is fundamental to understanding probability distributions and analyzing random events.

Computer Science

In computer science, “2n choose n” and related combinatorial concepts are used in algorithm analysis, particularly when dealing with recursive algorithms or algorithms that involve searching through combinations of possibilities. The number of possible combinations often directly impacts the efficiency of an algorithm, so understanding these concepts is crucial for designing efficient and scalable solutions.

Mathematical Significance

Beyond its specific applications, “2n choose n” is mathematically significant because it represents a fundamental building block in combinatorics . It’s a classic example of a binomial coefficient, which plays a crucial role in the binomial theorem, probability theory, and various other areas of mathematics. Its appearance in so many different contexts underscores its importance as a fundamental mathematical concept.

In short, “2n choose n” isn’t just some abstract formula. It’s a powerful tool that helps us solve a wide range of problems in mathematics, computer science, and beyond. By understanding its meaning, how to calculate it, and where it appears, you’ve gained a valuable insight into the world of combinatorics!

Tips and Tricks for Working with “2n Choose n”

Working with “2n choose n” can sometimes be tricky, especially when dealing with large values of n . Here are a few tips and tricks to make your life easier:

  • Simplify before you calculate: Before you start plugging numbers into the factorial formula, see if you can simplify the expression first. Look for common factors in the numerator and denominator that you can cancel out. This can save you a lot of computational effort, especially when dealing with larger values of n .

  • Use Stirling’s approximation for large n: As n gets very large, calculating factorials directly becomes computationally infeasible. In these cases, Stirling’s approximation can be a useful tool. Stirling’s approximation provides an estimate for the factorial function:

    n! ≈ sqrt(2πn) * (n/e)^n

    While it’s an approximation, it becomes increasingly accurate as n grows larger. You can use Stirling’s approximation to estimate (2n)! and n! and then plug those estimates into the formula for “2n choose n”.

  • Consider using logarithms: When dealing with very large numbers, taking logarithms can help prevent overflow errors and make calculations more manageable. You can use the properties of logarithms to rewrite the expression for “2n choose n” in terms of logarithms, perform the calculations using logarithms, and then exponentiate the result to get the final answer.

  • Precompute values (when possible): If you need to calculate “2n choose n” for a range of values of n , consider precomputing the values and storing them in a table or array. This can save you a lot of time and effort, especially if you need to perform the calculation repeatedly.

  • Use efficient algorithms: There are more efficient algorithms for calculating binomial coefficients than directly using the factorial formula. For example, you can use dynamic programming techniques to build a table of binomial coefficients and then look up the value of “2n choose n” in the table. This can be significantly faster than calculating the factorials directly.

  • Be mindful of integer overflow: Factorials grow very quickly, so be aware of the potential for integer overflow when working with “2n choose n”. Use appropriate data types (e.g., long integers or floating-point numbers) to store the intermediate results, and be prepared to handle overflow errors if they occur.

By keeping these tips and tricks in mind, you’ll be well-equipped to tackle problems involving “2n choose n” and avoid common pitfalls.

Conclusion: Why “2n Choose n” Matters

So, there you have it, folks! We’ve taken a deep dive into the world of “2n choose n”, exploring its meaning, its formula, its real-world applications, and some handy tips and tricks for working with it. Hopefully, you now have a solid understanding of this important combinatorial concept.

“2n choose n” isn’t just some abstract mathematical formula. It’s a powerful tool that helps us solve a wide range of problems in mathematics, computer science, probability, and beyond. It’s a fundamental building block in combinatorics, and its appearance in so many different contexts underscores its importance as a core mathematical concept.

Understanding “2n choose n” opens doors to understanding the Catalan numbers, analyzing probability distributions, designing efficient algorithms, and tackling a variety of other challenging problems. Whether you’re a student, a researcher, or just someone who’s curious about the world of mathematics, “2n choose n” is a concept worth knowing.

So, the next time you encounter “2n choose n”, don’t be intimidated! Remember the formula, the examples, and the tips and tricks we’ve discussed. And most importantly, remember that mathematics is a journey of discovery, and every new concept you learn brings you one step closer to understanding the beautiful and intricate world around us. Keep exploring, keep learning, and keep having fun with math! You got this!